×
Lastning pågår

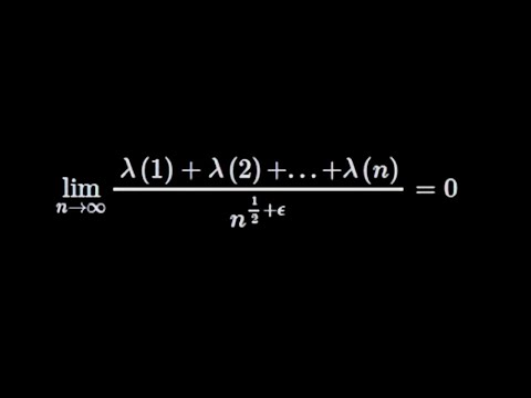
HIPÓTESIS DE RIEMANN - El problema matemático imposible que TODO matemático sueña con resolver

1 medlem

- Clip extraído de The Wild Project #155 ft Eduardo Sáenz de Cabezón: https://youtu.be/57Gts-zsb2w | - El nuevo libro de Jordi Wild: https://amzn.to/3xDihtx
Eduardo Sáenz de Cabezón, matemático y divulgador, viene a The Wild Project para un episodio en el que las matemáticas van a sorprender a todos con algunos de los temas más locos de la historia del podcast. Conoceremos como funciona un ordenador cuántico, qué es la famosísimo Teoría de Juegos que se usa muchísimo en la política, entenderemos por qué 0 elevado a 0 es 1, conoceremos que quizás 2+2 no son cuatro, entenderemos el importantísimo numero e, sabremos por qué el 666 es el número del diablo, hablaremos del infinito, a Jordi le petará la cabeza varias veces... y mucho más. ¡No te lo pierdas!

Sigue The Wild Project en:
? SPOTIFY: https://spoti.fi/3cA2lfy
? Apple Podcast: https://apple.co/2ILx6Rf
? Ivoox: https://bit.ly/3cBPxoV
? Amazon Music: https://amzn.to/3gylTFG

Mail para posibles invitados: [email protected]

Realización y edición: Nacho Amela https://twitter.com/NachoAmela
Recopilación noticias: Josebas https://twitter.com/TheAutenticoOne

Tik Tok, ¡sígueme!: https://www.tiktok.com/@jordiwild
Canal de YT de Jordi Wild: https://www.youtube.com/user/ElRinconDeGiorgio
¡Wild Style marca de ropa! → https://wildstylestore.com
Jordi Wild web → http://www.jordiwild.com

TWITTER:
https://twitter.com/JordiWild
https://twitter.com/TheWildProject8

FACEBOOK:
https://www.facebook.com/JordiWild
https://www.facebook.com/TheWildProjectOficial

INSTAGRAM:
http://instagram.com/jordiwild8
http://instagram.com/the.wildproject

Nästa avsnitt
S02E3107 - Matemático explica el motivo real por el cual NO hay Premio Nobel de matemáticas
Se avsnittet

Episoder

Liknande program (10)

Departamento Cosas
Departamento Cosas
La Palestra Candente
La Palestra Candente
Estirando el chicle
Estirando el chicle
¿Sigues ahí? Un podcast de Netflix
¿Sigues ahí? Un podcast de Netflix
No es para tanto
No es para tanto
El Cazador de Cerebros
El Cazador de Cerebros
¿Te la sabes?
¿Te la sabes?
W Podcast
W Podcast
Las del grupo
Las del grupo
Recuérdate
Recuérdate